情報 / Info
当サイトは、Typst GmbHの許諾を得て、日本語コミュニティ「Typst Japanese Community」がTypst v0.13.1の公式ドキュメントを翻訳したものです。誤訳や古い情報が含まれている可能性があるため、公式ドキュメントとの併用を推奨します。翻訳の改善やサイトの機能向上について、GitHubでのIssueやPull Requestを歓迎します。コミュニティにご興味のある方はDiscordサーバー「くみはんクラブ」にぜひご参加ください。
This site provides a Japanese translation of the Typst v0.13.1 documentation maintained by the "Typst Japanese Community" with permission from Typst GmbH. We recommend using this alongside the official documentation. We welcome contributions through Issues and Pull Requests on our GitHub repository for both translation improvements and website enhancements. Feel free to join our Discord server "Kumihan Club".
未翻訳

このページはまだ翻訳されていません。原文の内容が表示されています。

equation
要素関数
要素関数
要素関数はsetルールやshowルールでカスタマイズできます。

数式。

数式は、テキスト内にインラインで表示することも、独立したブロックとして表示することもできます。 数式をブロックレベルにするには、 開始ドル記号の直後と終了ドル記号の直前に少なくとも1つのスペースを挿入してください。

#set text(font: "New Computer Modern")

Let $a$, $b$, and $c$ be the side
lengths of right-angled triangle.
Then, we know that:
$ a^2 + b^2 = c^2 $

Prove by induction:
$ sum_(k=1)^n k = (n(n+1)) / 2 $
Preview

デフォルトでは、ブロックレベルの数式はページをまたいで分割されません。 これはshow math.equation: set block(breakable: true)を使用して変更できます。

構文

この関数には専用の構文もあります。 数式のマークアップをドル記号で囲むことで、数式を作成します。 式の先頭と末尾にそれぞれ少なくとも1つのスペースを挿入すると、 数式は独立したブロックとして扱われ、水平中央に配置されます。 数式の構文の詳細については、数式のメインページを参照してください。

引数
引数
引数は関数への入力値です。関数名の後に括弧で囲んで指定します。

block
設定可能引数
設定可能引数
設定可能引数は、setルールを用いて設定でき、それ以降で使用するデフォルト値を変更できます。

数式が独立したブロックとして表示されるかどうか。

デフォルト値:
false

numbering
設定可能引数
設定可能引数
設定可能引数は、setルールを用いて設定でき、それ以降で使用するデフォルト値を変更できます。

ブロックレベル数式への番号付け方法。

例を表示
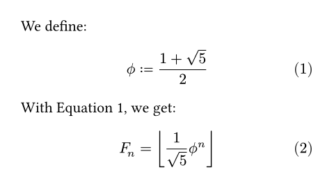
#set math.equation(numbering: "(1)")

We define:
$ phi.alt := (1 + sqrt(5)) / 2 $ <ratio>

With @ratio, we get:
$ F_n = floor(1 / sqrt(5) phi.alt^n) $
Preview
デフォルト値:
none

number-align
設定可能引数
設定可能引数
設定可能引数は、setルールを用いて設定でき、それ以降で使用するデフォルト値を変更できます。

数式番号の配置。

デフォルトでは、数式の配置はend + horizonです。 水平方向の成分にはrightleft、 またはテキスト方向のstartendを使用できます。 垂直方向の成分には、tophorizon、またはbottomを使用できます。

例を表示
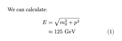
#set math.equation(numbering: "(1)", number-align: bottom)

We can calculate:
$ E &= sqrt(m_0^2 + p^2) \
    &approx 125 "GeV" $
Preview
デフォルト値:
end + horizon

supplement
設定可能引数
設定可能引数
設定可能引数は、setルールを用いて設定でき、それ以降で使用するデフォルト値を変更できます。

数式に用いる補足語。

見出しを参照する際、補足語が参照番号の前に追加されます。

関数を指定した場合、参照された数式が引数として渡され、 その関数は表示されるコンテンツを返す必要があります。

例を表示
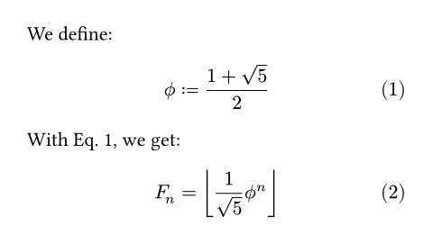
#set math.equation(numbering: "(1)", supplement: [Eq.])

We define:
$ phi.alt := (1 + sqrt(5)) / 2 $ <ratio>

With @ratio, we get:
$ F_n = floor(1 / sqrt(5) phi.alt^n) $
Preview
デフォルト値:
auto

body
必須引数
必須引数
必須引数は、関数を呼び出す際に必ず指定しなければなりません。
位置引数
位置引数
位置引数は順序通りに指定することで、引数名を省略して設定できます。

数式のコンテンツ。

原文(英語)を開く

検索