情報 / Info
当サイトは、Typst GmbHの許諾を得て、日本語コミュニティ「Typst Japanese Community」がTypst v0.13.1の公式ドキュメントを翻訳したものです。誤訳や古い情報が含まれている可能性があるため、公式ドキュメントとの併用を推奨します。翻訳の改善やサイトの機能向上について、GitHubでのIssueやPull Requestを歓迎します。コミュニティにご興味のある方はDiscordサーバー「くみはんクラブ」にぜひご参加ください。
This site provides a Japanese translation of the Typst v0.13.1 documentation maintained by the "Typst Japanese Community" with permission from Typst GmbH. We recommend using this alongside the official documentation. We welcome contributions through Issues and Pull Requests on our GitHub repository for both translation improvements and website enhancements. Feel free to join our Discord server "Kumihan Club".
未翻訳

このページはまだ翻訳されていません。原文の内容が表示されています。

frac
要素関数
要素関数
要素関数はsetルールやshowルールでカスタマイズできます。

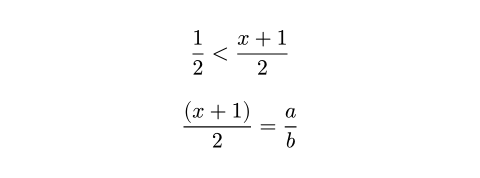
分数。

$ 1/2 < (x+1)/2 $
$ ((x+1)) / 2 = frac(a, b) $
Preview

構文

この関数には専用の構文もあります。 隣接する式をスラッシュで区切ると、分数になります。 また、丸括弧で複数の式要素を囲うと、単一の式として扱えます。 そのような丸括弧は出力からは削除されますが、複数重ねてネストすることで、丸括弧を表示させることも可能です。

引数
引数
引数は関数への入力値です。関数名の後に括弧で囲んで指定します。

math.frac(,)->

num
必須引数
必須引数
必須引数は、関数を呼び出す際に必ず指定しなければなりません。
位置引数
位置引数
位置引数は順序通りに指定することで、引数名を省略して設定できます。

分数の分子。

denom
必須引数
必須引数
必須引数は、関数を呼び出す際に必ず指定しなければなりません。
位置引数
位置引数
位置引数は順序通りに指定することで、引数名を省略して設定できます。

分数の分母。

原文(英語)を開く

検索